泗水和鸣,开始认筹,400万+新中式低密住宅!附一房一价表
扫描到手机,新闻随时看
扫一扫,用手机看文章
更加方便分享给朋友

松江泗泾板块
6站达漕河泾开发区,9站达徐家汇
紧邻佘山生态旅游度假区
9号线泗泾站约620米
泗水和鸣
开始认筹
认筹时间:12月7日-12月11日14时止
开盘时间:12月18日13时
认筹地址:松江区恒泽路58弄66号泗水和鸣销售处
认筹金:20万
共568套房源
建面约88-98㎡3房
建面约128㎡4房
精装修 一梯二房
均价46254元/㎡
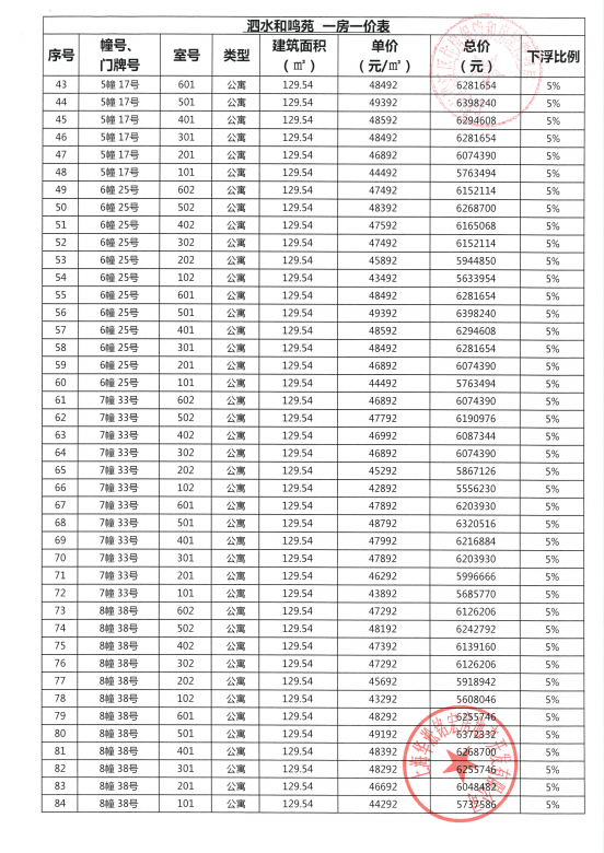
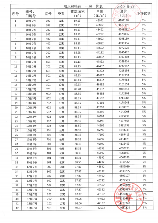
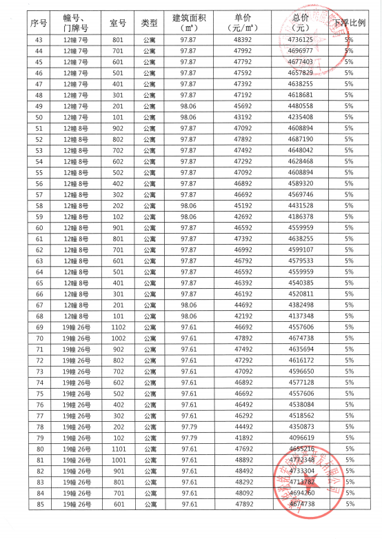
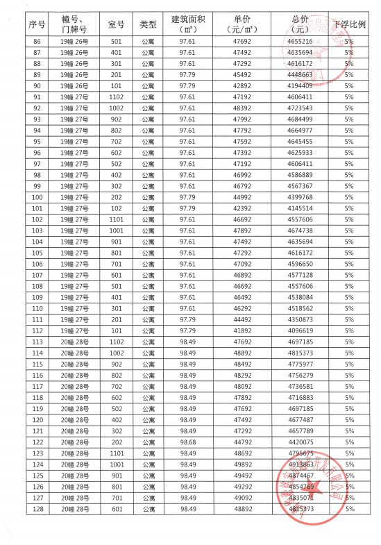
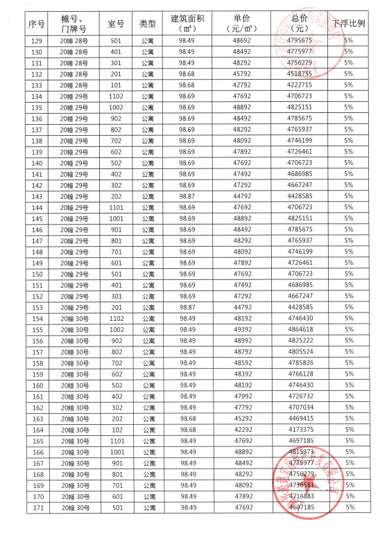
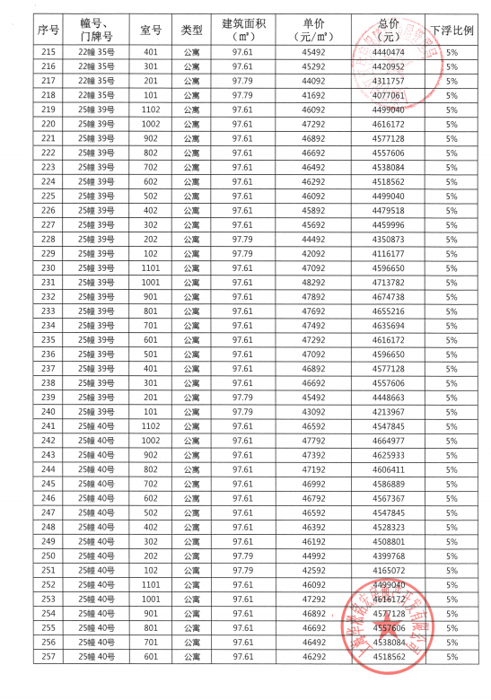
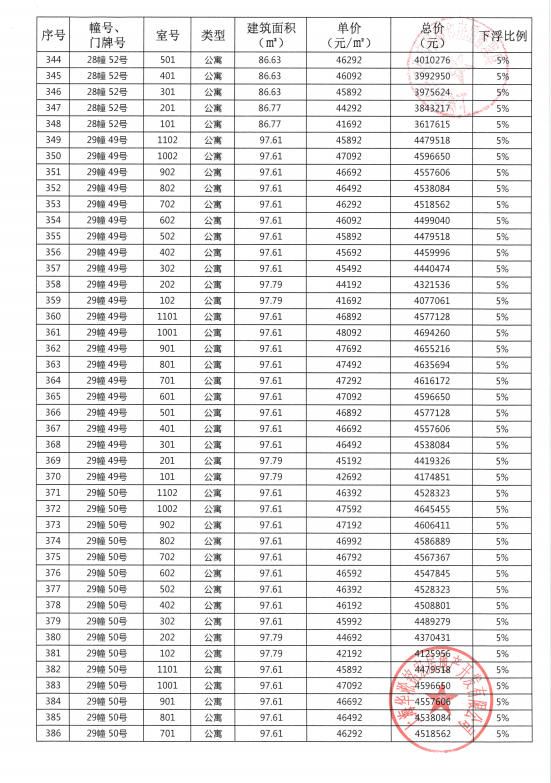
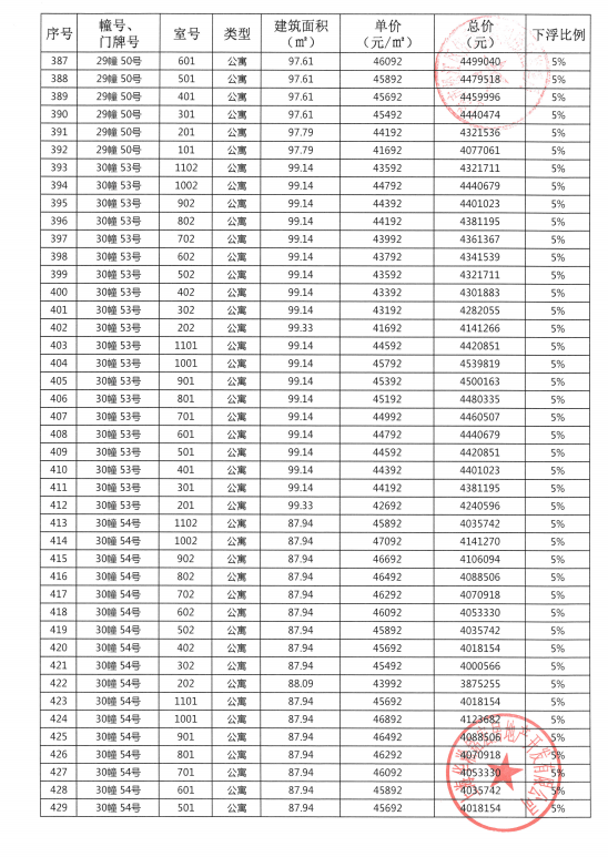
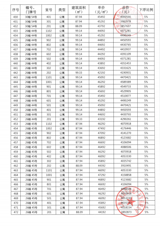
文末附一房一价表



泗水和鸣本次取证房源568套,取证楼号:1-3#、6-8#、12#、17#、25-30#、33-35#、38-40#、44-54#、主力户型:建面约88-98㎡3房、建面约128㎡4房、精装修、均价46254元/㎡,
具体分布以下图:

泗泾板块一直都是地铁房比较热门的板块,原因也很简单:“总价400万左右,乘地铁9号线到徐家汇只要9站地铁,整个上海乘地铁也很难找到比泗泾离市区更近的板块”。
不管有没有沪牌,但上班高峰期去市区上海,不可否认,地铁出行是最方便、较快捷、最省事、最重要的通勤方式。沿着9号线你看看这巨大的房价剪刀差,以泗泾站为原点:仅3站地铁的七宝,房价均价约7万/㎡;仅6站地铁的漕河泾,新房已到10万/㎡;仅9站地铁的徐家汇,房价均价约13万/㎡;而泗泾新房均价才约4.5万/㎡,松江泗泾,凭借黄金9号线迅捷通达沪上先进CBD群,同时巨大的价差,庞大的外溢需求,价格才徐家汇三分之一左右,比起仅6站的漕河泾,泗泾房价不到其一半,泗泾板块超高性价比毋容置疑!

近年来,充满民族文化的新中式建筑风格盛行,深受购房者喜爱,但新中式产品工艺复杂、造价高昂、施工难度大,很少有开发商尝试新中式住宅,而做的好的更是少之有少。回看2020年以来,上海所有的新增供应的住宅项目,新中式住宅项目仅占约4%!“稀缺性+产品力”决定了房子的收藏和居住价值。

数据来源:澜城数据
泗水和鸣位于淞江泗泾版块,项目北临泗博路、南临恒泽路、西临横港公路、东临天然河道——洞泾港;项目占地约8.5万㎡、建筑面积约12.9万㎡、容积率1.5,由21幢9-11F精装小高层、8幢6F电梯洋房、3幢14F自持和保障用房组成,共1408户。

泗水和鸣分南北二个地块,相互之间用围墙将商业房和自持及保障用房隔开,分成二个独立小区;下面是项目商品房主要产品:约88㎡3房为11层小高层,共7栋房源;约98㎡3房为11层小高层,共14栋房源;约128㎡4房为6层洋房,共8栋房源;

泗水和鸣采用新中式的建筑风格,外立面由干挂石材+真石漆组成,外观高贵典雅历久弥新。

泗水和鸣景观采用中式园林风格,以“醉白池”为蓝本,采用“一轴两廊双环”设计,构建有:鸿入境,高谈青云,四进礼制;三池三堂,双门双桥,曲径通幽,十二景和鸣的景观体系。

一鸣惊鸿,大气恢弘的迎宾正门,左右分列两棵形态遒劲的松树,直接给予主人和宾客强烈的暗示:到家了。

△实景图二鸣入境,映入眼帘的就是匠心打造的十二道景观:醉白池、九曲池、鹿鸣书院、芙蓉桥……曲折小径,让人不由放慢脚步,欣赏园中的一花一树、石狮清池。

△实景图三鸣高谈,走进鹿鸣书院,可以与志趣相投的邻居、好友琴棋书画、喝茶谈天。

△实景图四鸣青云,宅间花园、竹林夹道欢迎,漫步归家路。

△实景图其实不必到苏杭,在自家小区就能欣赏到纯正的中式园林。

园林实景图

园林实景图

园林实景图
泗水和鸣对于架空层也充分利用,打造了不同功能譬如健身、会客、阅览等等,全龄共享多功能生活场景~


△架空层效果图最让人惊喜的还是区域内独一份约1200㎡的儿童高定成长空间——鲤乐荟!从《小王子》中获取灵感的星球与森林主题下沉式儿童空间,根据年龄打造了六大主题空间:森林银河、书香轨道、梦幻泡泡舱、穿越乐高世界、原力舱、新星场等。





△鲤乐荟实景图建面约88㎡3房户型图

建面约88㎡紧凑型3房;三开间朝南,采光无敌;客餐厅一体连接阳台,室内通风更好;全卧室带飘窗,增加室内实际可使用面积;卫生间干湿分离,既卫生又方便;半开放的U型厨房,多人使用也不显拥挤;建面约98㎡3房户型图

建面约98㎡舒适型3房;南北通透,室内通风更好;主卧套房设计,独享静谧的私密时光;全卧室带飘窗,增加室内实际可使用面积;U型厨房,空间合理,光线充裕;卫生间干湿分离,既卫生又方便;建面约128㎡4房户型图

建面约128㎡奢华型4房;全明户型,360°无死角;4开间朝南户型,做到了南北通透;客餐厅一体连接阳台,室内通风更好;动静分离,互不干扰,让居家生活休息娱乐两不误;主卧套房配置,自带衣帽间和卫生间,私密性和舒适度兼具;卫生间干湿分离,既卫生又方便;
L型厨房,多人使用也不显拥挤;
样板房照片




No.3丨交通配套地铁:离项目最近的地铁是9号线泗泾站(步行约620米),步行约10分钟就可到达,非常方便。自驾:项目紧临横港公路,可接驳:泗陈公路、嘉松南路、A9沪青平高速公路、沪松公路、沪渝高速、沈海高速、沪昆高速等上海主干道,可快速到达上海各各个热门商圈,尽享便捷出行的悠享生活。

商业配套项目附近有:三湘商业广场(步行约800米)、绿地云天坊(步行约940米)、保利悦活荟(步行约1.0KM)、金地自在城风情街(步行约1.5KM)、如海生活购物广场(步行约2.1KM)等大型商业购物中心,完全能够满足日常一站式购物、娱乐、休闲的生活需求,尽享璀璨城市生活;

教育配套项目附近拥有完善的全龄化的教育配套,可以满足各年龄段的教育需求,附近还有:幼儿园:泗泾镇中心幼儿园横港部(步行约900米)、泗泾第五幼儿园(步行约1.1KM)、泗泾第二幼儿园(步行约1.9KM)等;中小学:泗泾小学(步行约1.7KM)、上海师范大学附属松江实验学校(步行约1.9KM)、泗泾第三小学(步行约2.7KM)、松江四中初级中学(步行约2.8KM)等;

医疗配套项目旁边拥有:松江区泗泾医院(步行约940米)、泗泾镇社区卫生服务中心(步行约2.5KM)、远大健康城(步行约6.9KM)、松江区九亭医院(步行约7.1KM)、上海市排名前列人民医院南院(步行约11.9KM)等大型医院,能够为您和家人提供全方位的健康保障。

一房一价表















声明:本文由入驻焦点开放平台的作者撰写,除焦点官方账号外,观点仅代表作者本人,不代表焦点立场。


