重磅!中建·玖里书香已取证!临港二批次叠加独苗,一房一价表已公示!
扫描到手机,新闻随时看
扫一扫,用手机看文章
更加方便分享给朋友
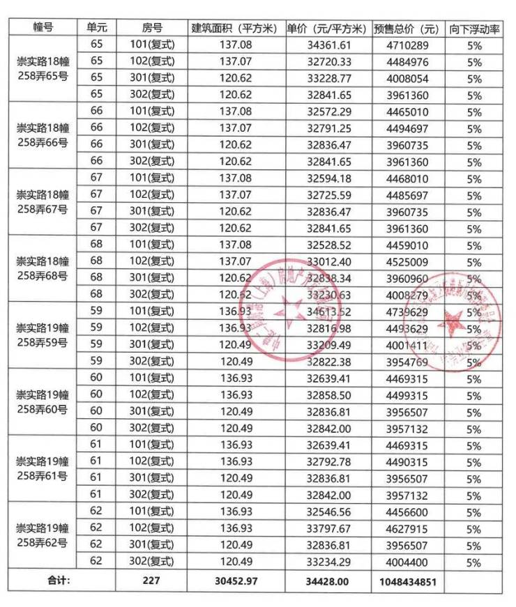
6月22日,备受瞩目的中建·玖里书香正式获得预售许可证,227套叠加房源“一房一价”表正式公示,均价约34428元/㎡。总价约400万起的惊喜价格,将在浦东开启“高层价,住叠墅”的圆梦时代。
400万级置业 叠加产品优势出众
400万置业上海,有很多可选性。若想买在近市区的地段,能选择60㎡左右、90年代的二手房,在五大新城,仅可选择约80-110㎡左右的高层新房,但对于追求高品质生活、有改善家庭居住需求的客群,也许它们都并非优选。
中建·玖里书香建面约120-153㎡宽境叠加,在高速发展的临港新片区,以约400万起的震撼价格,将不少人的墅居理想照进现实。项目所在的书院板块作为临港近距市区的板块,靠近两港快线东大公路站(在建中),接驳两港大道,快速通达市区,能够满足到浦东城区的快捷通勤需求。
宽境墅区 美好触手可及
在网上房地产公示信息中可以看到,临港二批次入市6盘,其中5盘为高层产品,仅中建·玖里书香是叠加产品供应独苗,其珍罕抢手不言而喻。
建面约120-153㎡叠加空间,设计约6.5-7.3米大横厅,采光、通风更强;上叠配享露台,下叠拥有延伸空间,与自然亲密接触;上下双层多开间,三代同堂的各有所居,为生活质感加满分。
建面约121㎡臻美上叠 轻松兑现墅愿
121㎡户型解析
作为中建·玖里书香叠墅产品系中的“精致户型”,建面约121㎡上叠受到不少年轻客群的钟爱,三室两厅三卫设计,充分尊重家人生活隐私,为新婚之家到三代同堂的家庭成长提供生活方案。
上叠一层南向横厅,让公共空间更加通透,饱藏阳光和风景,同时餐厅链接阳台,享受茶余饭后的休闲放松;二层宽境大露台为居家生活添满创意,打造空中花园或宠物乐园等,带来享不尽的欢乐。
建面约137㎡阳光下叠 进阶品质人生
137㎡户型解析
此次中建·玖里书香推出建面约137㎡下叠明星户型,四房两厅三卫设计,即使是三代同堂的二胎家庭,也能轻松满足居住需求,堪称“叠加抢手精品”。
建面约137㎡下叠一层南向约7.3米横厅设计,通透敞亮,随时体验阳光生活。二层高配置套房主卧,自带卫浴和南向阳台,奢居感受更上一层。除寝居室外,还可打造独立书房或琴房、儿童游戏房等,让日常居家多一份精彩享受。
建面约153㎡下叠边套 奢贵不彰自显
153㎡户型解析
建面约153㎡下叠边套是中建玖里书香的重量级叠加户型,五房两厅三卫,是诸多才智阶层的“心动款”,一层三面朝阳,横厅宽卧,在阳光中舒享生活。
二层套房主卧加配南向阳台,居住的尊贵感更加上乘。除满足三代同堂日常寝居,还能拓展独立书房、家庭影音室、健身房等,居家生活更加精彩多样。
作为临港二批次叠加独苗,中建玖里书香总价约400万起,兑现叠加理想,在高速发展的临港新片区,向美好未来前进。一房一价已公示,即将认购,房源有限,静待把握。
免责声明:
1、本项目推广名为“中建·玖里书香”,备案名为“书香龙庭、书香华邸”;预售许可证编号:自贸临管房管(2021)预字0000344号、自贸临管房管(2022)预字0000093号;开发公司为:中建二局海港(上海)房地产开发有限公司、上海昇港置业有限公司。
2、本宣传品为要约邀请,不作为要约或承诺,买卖双方的权利义务以双方签订的《商品房买卖合同》为准,本公司保留对宣传品的修改权利,敬请留意较新资讯。
3、本公司对项目周边环境、交通及其它公共设施的介绍,旨在提供相关信息,政府部门可能对相关规划予以变更,不意味着本公司对此做出任何承诺。
4、以上户型图片仅为户内平面示意,图面上栏杆造型、设备平台栏杆、室外造型、景观空腔等仅为参考,空调外机未表达,不同户型的面积尺寸,功能布局,空间分割等均有不同,相同户型因楼栋、楼层、单元、房号等差别,局部结构、朝向、面积等也可能不同,具体以政府最终审定的商品房买卖合同为准。不同楼栋的特别说明和不利因素详见购房合同。最终面积以实测报告为准。
5、本宣传品制作日期为2022年6月22日,有效期截止至2022年7月21日。广告
声明:本文由入驻焦点开放平台的作者撰写,除焦点官方账号外,观点仅代表作者本人,不代表焦点立场。


