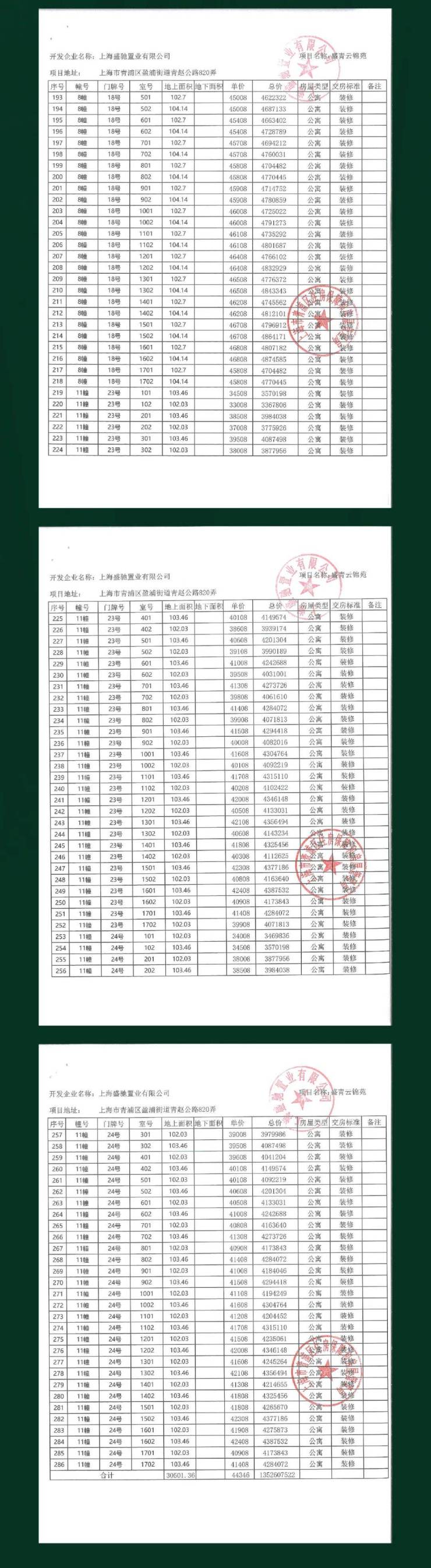
17号线地铁旁,盛青云锦建面约103-166㎡3-4房认购中,均价44346元/㎡
上海搜狐焦点 2023-11-17 16:13:04
用手机看
扫描到手机,新闻随时看
扫一扫,用手机看文章
更加方便分享给朋友
青浦新城17号线漕盈路站盛青云锦11月16日认购建面约103-166㎡3-4房均价44346元/㎡认购时间:11月16日9时至11月20日12时认购金:39万元户型图如下:一房一价表:…

户型图如下:

一房一价表:
声明:本文由入驻焦点开放平台的作者撰写,除焦点官方账号外,观点仅代表作者本人,不代表焦点立场。


