佘山国贸天悦三期云庭,总价350万起精装3房,附一房一价表
扫描到手机,新闻随时看
扫一扫,用手机看文章
更加方便分享给朋友

佘山是松江发展区域经济的中心之一,位于上海西南的松江区,是松江区的西北门户。丰富的土地资源和山林资源,给佘山板块带来了独特的影响。随着大虹桥商务区的飞速发展,企业的大量入驻,大量的国内外精英人士相继涌入。同时,大量人口的导入也带来了巨量的居住需求。但据有关数据显示,大虹桥核心住宅规划体量较小,占比不足5%。“住宅量少”、“价格高”等现状成为区域内购房者面临的难题。

国贸天悦佘山(别名佘北家园观澜庭)位于马尾山路与勋业路的交汇处,属于松江佘山版块,但是项目以青浦赵巷板块只有一路之隔,国贸天悦佘山坐落虹桥西,黄金生活轴之上,左揽大虹桥城市繁华,右享大佘山生态静谧,尊享佘北大区500万方的城市规划,未来升值潜力巨大。

国贸天悦佘山(别名佘北家园观澜庭)位于松江区沉塔路勋业路交汇处,总建筑面积逾30万方,整个项目分为三期,目前一期二期已经售罄,现在在售的是国贸天悦三期新品——云庭

项目整个大居生活圈都是被河道所包围,河道周边都形成的公共绿地大大提高了居住品质,同时在强业路以北整个居住区内,还规划了四个湿地公园,让每片区的居民都可以享受到公园配套,

国贸天悦云庭采用半人车分流设计,共有810个车位,其中地上车位70个,地下车位740个,车位比约为1:1.2,车位还是比较充足,

国贸天悦云庭采用新亚式建筑的建筑风格,石村加真石漆的外立面,顶层咖啡色设计,从远处看,小区格外的醒目。

景观方面,三期延续一期二期的新亚洲园林风格,以“城市公园”为硬核理念,打造公园式园林社区,以“一轴、一环 、六园林”的社区景观,五国园林一步一景,搭配全龄段活动空间,让社区宛如一座真正的公园

国贸天悦云庭在一期二期之上,加大了楼栋的栋距,由原本的5排住宅缩减为4排,降低了楼与楼之间的遮挡,没有近距离带来的局促与压迫,让业主住的更加舒心,而且视野更加开阔,即使低楼层也无需担忧采光问题。

国贸天悦云庭主打高品质精 装户型科技住宅,拥有除霾新风、全屋地暖、恒温科技系统、智能生活控制系统等。同时,贴心功能3+1的舒适户型,功能性和尺度感在9号线沿线新盘中少有。

项目名称:国贸天悦项目性质:住宅总体量:1500套建筑面积:35万方 绿化率: 35% 容积率:1.8层高: 13层

国贸天悦三期云庭毛坯:(少量房源40套)1房1厅1卫:53㎡2房2厅2卫:84㎡2房2厅2卫:94㎡精装:(640套)2房2厅1卫:84㎡3房2厅1卫:90-101㎡3房2厅2卫:111-141㎡4房2厅2卫:133㎡4房2厅3卫:158-160㎡均价:38000左右

户型图:





样板房照片:







交通配套:虽然项目旁边有地铁9号和17号线,但离项目最近还是9号线的佘山站(约2.9KM),可乘坐公交191路 嘉松线 松江97路等公交车到项目;自驾的话, 项目旁边的崧泽高架可对接中环线;G5O无缝对接延安高架;莘砖公路无缝贯穿松江和闵行;嘉松中路可贯穿松江区和嘉定区;G15沈海高速可快连接江浙两;自驾出行非常方便;

商业配套:小区内部有配套约1500方左右的商业配套,整个大区里有约6000方沿街商业,约300米处的嘉松南路勋业路交叉口就是约5.4万方的大型商业综合体,里面包含了山姆会员超市、沃尔玛等商业配套,约1.5KM就是沿着泗陈公路打造的百万方商业,吃喝玩乐购都有,可以满足日常生活需求;另外旁边还有元祖梦世界(约3.2KM),合生新天地(约3.5KM),奥特莱斯 (约3.8KM)等大型商业配套,朋友吃饭购物都方便。

学校教育:离项目近点的学校有佘山外国语实验学校(约1.7KM),宋庆龄幼儿园(约2.9KM)、松江区北干山小学(约3.0KM)、松江区泗泾第二小学(约3.1KM),松江四中初级中学(约4.0KM)等学校,教育资源还是比较丰富的,可满足小孩的上学需求。

医院配套:项目周边都是小型的医疗配套,大一点的就是佘山社区卫生服务中心(约6.8KM)、二级乙松江区泗泾医院(约5.0KM),三级甲排名前列人民医院松江南院(约10.0KM)等。

休闲配套:项目附近就是玛雅水上乐园(约2.6KM),佘山国际高尔夫俱乐部(约2.9KM),上海欢乐谷(约5.3KM),佘山国家森林公园(约6.4KM),辰山植物园(约8.2KM)等,周末可以带小孩去玩玩。

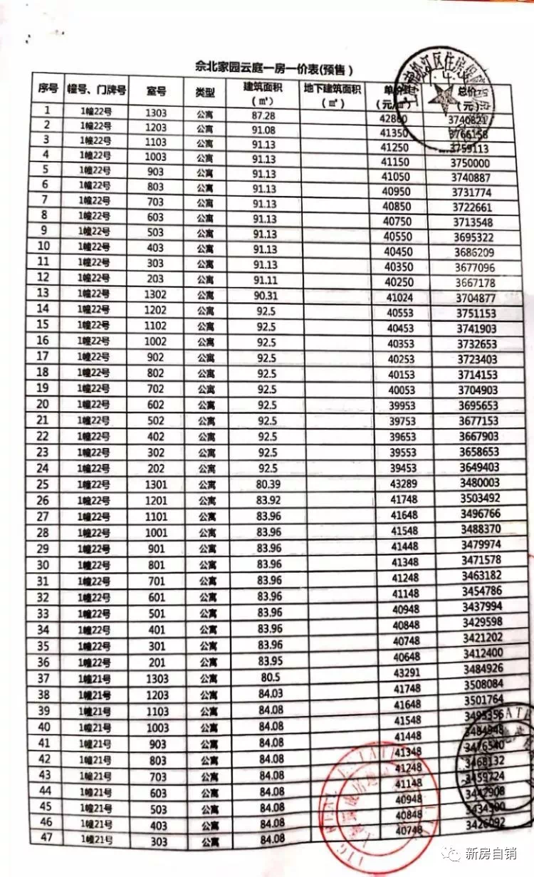
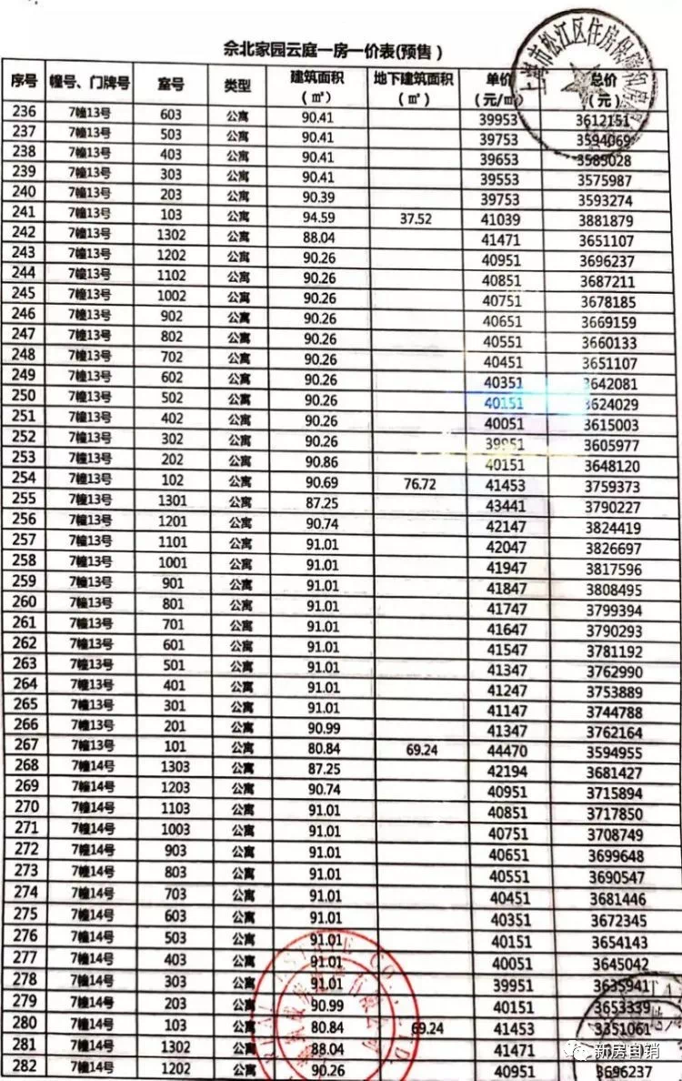
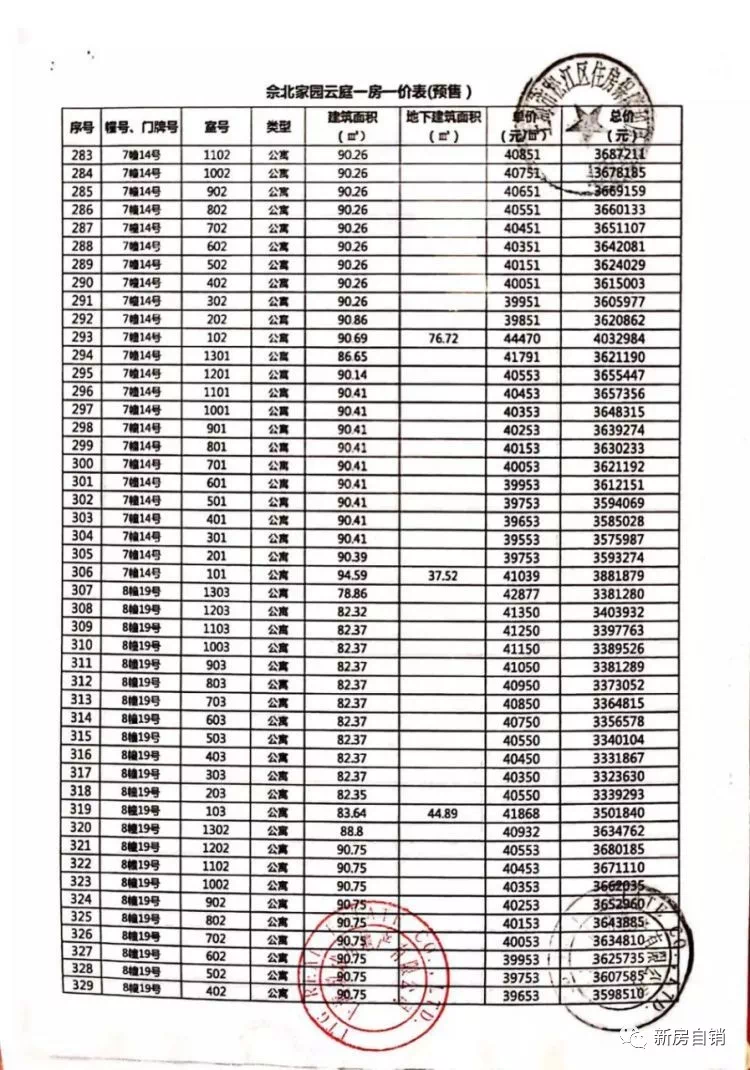
一房一价表:














声明:本文由入驻焦点开放平台的作者撰写,除焦点官方账号外,观点仅代表作者本人,不代表焦点立场。


