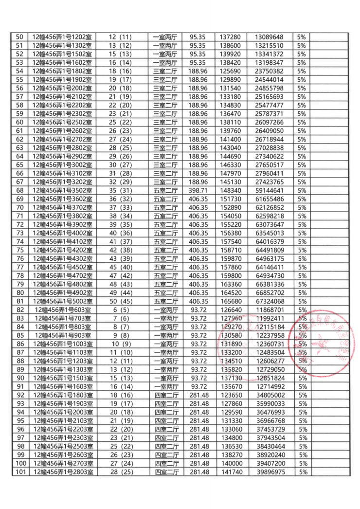
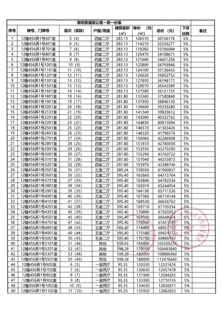
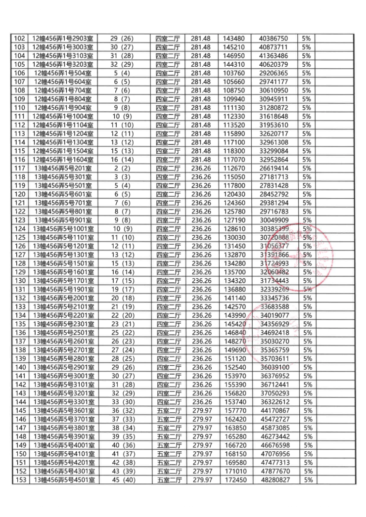
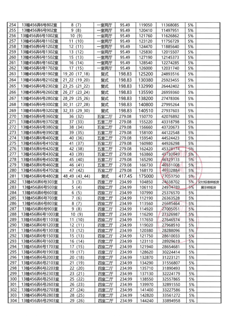
黄浦住宅第一高「海玥黄浦源」9月6日开启认购!一房一价表公布
上海搜狐焦点 2023-09-05 14:54:19
用手机看
扫描到手机,新闻随时看
扫一扫,用手机看文章
更加方便分享给朋友
主力建面约188-406㎡,另有558-598㎡云鼎大平层







声明:本文由入驻焦点开放平台的作者撰写,除焦点官方账号外,观点仅代表作者本人,不代表焦点立场。


