金鼎阅府西区466套房源取证,3月1日至5日认购,附一房一价表
上海搜狐焦点 2023-02-28 14:42:11
用手机看
扫描到手机,新闻随时看
扫一扫,用手机看文章
更加方便分享给朋友
项目已取证,将于3月1日9时至3月5日12时认购,认购金93万元。
金鼎阅府西区(04-01地块)已取证,将于3月1日9时至3月5日12时认购,认购金93万元。
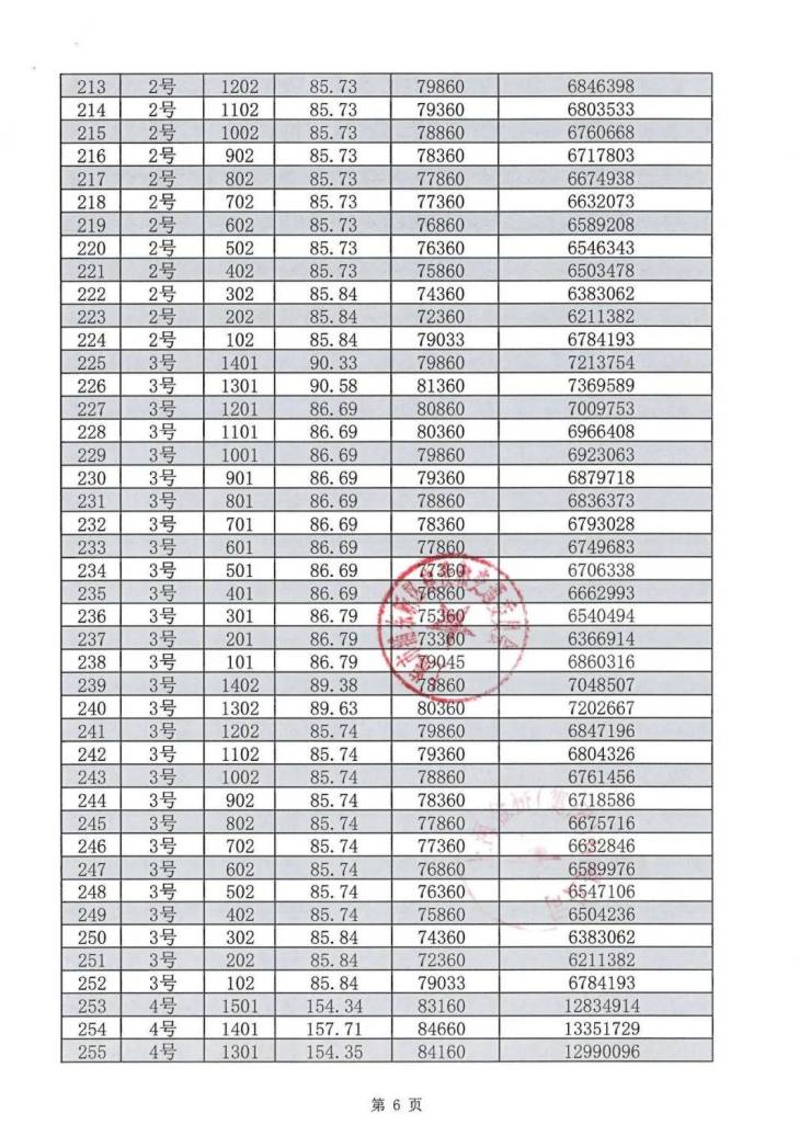
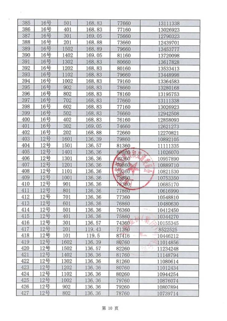
据了解,金鼎阅府西区将推出466套新房,主力户型及套数如下:建面约86㎡2房168套;建面约107㎡3房84套,建面约136㎡3房143套;建面约154㎡4房15套,建面约169㎡3房56套。
一房一价表:
声明:本文由入驻焦点开放平台的作者撰写,除焦点官方账号外,观点仅代表作者本人,不代表焦点立场。


