倒挂近2万/㎡!约366万起!南翔轨交准现房【湖畔天下】还有最后34套
扫描到手机,新闻随时看
扫一扫,用手机看文章
更加方便分享给朋友
嘉定南翔标杆大盘
【湖畔天下瑞泷】
继去年开盘之后
又有新房源即将入市
最后34套毛坯/精装准现房
均价5.2万/㎡
周边二手房成交价已破6万
认筹时间:6.28-7.2(10:00-17:00)
选房时间:7.8-7.9
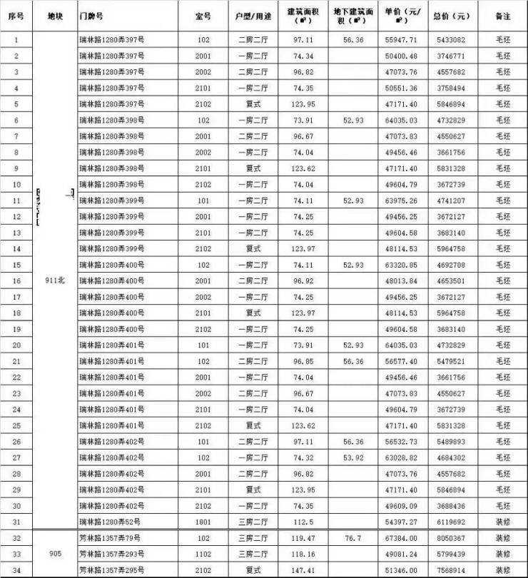
毛坯户型:74平1房2厅1卫,96平2房2厅2卫
(一楼增送地下室约52-56平),123平3房2厅3卫
去年的时候,项目最后两栋毛坯交付的楼盘就推出过,户型约74-96㎡1-2房。然而,当时还有少量顶复和底复暂不对外出售!
时至今日,这些隐藏款终于将要和大家见面啦,项目新加推预计总套数34套,16套顶复/底复+18套标准户型,面积段包含74-147m²,单价延续前期,还是5.2万/m²。
具体时间安排:
公示时间:6.26
认筹时间:6.28-7.2(10:00-17:00)
入围名单公示:7.5
公证处摇号:7.6
选房时间:7.8-7.9
选房地点:售楼处
所需材料如下👇
户型图如下👇
96m²2房+54m²地下室(赠送)

95m²+28m²=123m²3房2厅3卫

74m²2房+53m²地下室(赠送)

标准户型如下👇


落地双层low-e玻璃,
外立面采用高级涂料配以部分石材贴面以及墙砖
户型设计的还挺古早的.....
不过这两栋楼两梯两户,得房率约78%
加上少见的赠送面积
还是很香的
项目层高约3米,底层和顶复约3.5米
物业公司为香港家利物业
车位比为约1:1
样板间如下👇





湖畔天下位于南翔核心留云湖板块
项目环湖而建,总建面约60万方
开发商是香港的长江实业
是一个集住宅、公寓、商业等为一体的
大型综合发展项目

这次的房源和前期一样位于项目的西北角
瑞林路和嘉绣东路交汇处
从下图来看 位置还不错~
前排全是低层的别墅 采光肯定没问题
不过西侧紧邻S5沪嘉高速
虽然直线距离大概有100多米还有绿化带
不过汽车噪音和大灯会有一定影响
单元号是397-402👇



虽然户型设计和时下有些差距
不过社区景观到现在还是很耐看的~
汇聚了“欧洲五国”主题布局
分别依据意大利、奥地利、英国、
比利时及瑞士建筑风格!
自身配有约8000平欧陆湖滨风情餐饮及商业
配合沿湖5800平邻里中心,咫尺可达
本次加推的楼栋位置直线距离11号线陈翔公路站较近
周边有沪嘉高速、嘉闵高架等主干道
往中环方向、虹桥方向都非常方便!

南翔的生活配套设施非常完善优秀!
声明:本文由入驻焦点开放平台的作者撰写,除焦点官方账号外,观点仅代表作者本人,不代表焦点立场。


