精装现房不用等!直接拎包入住!仁恒西郊花园拿证啦!
扫描到手机,新闻随时看
扫一扫,用手机看文章
更加方便分享给朋友
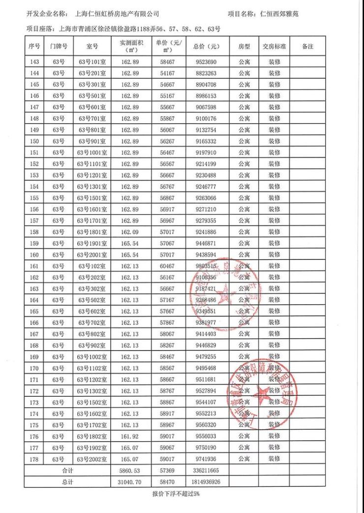
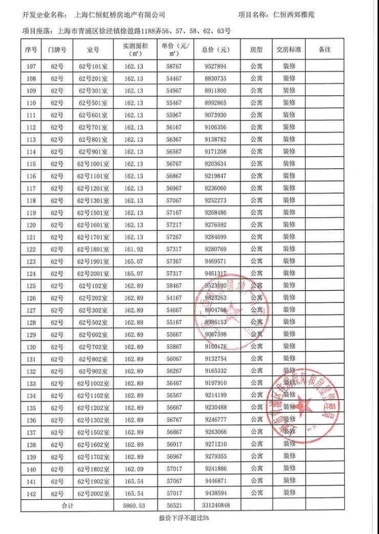
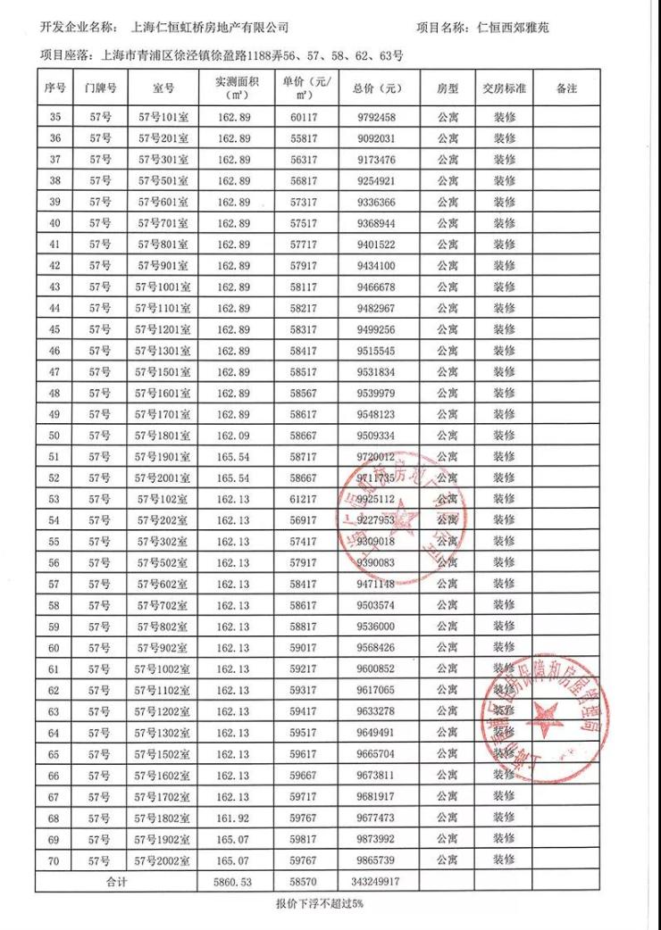
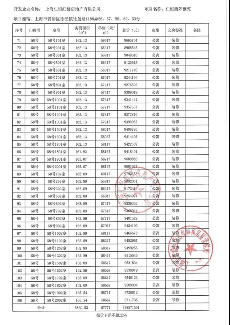
仁恒西郊花园最后一批房源推出,本次拿证(不动产权证:沪(2018)青字不动产权第006919号)的是56、57、58、62、63号楼,房源共计178套,精装交付,备案价范围:54167-63867元/㎡。全部现房!认购之后经过短时间的工程验收,即可拎包入住。现正在认筹阶段,4月4日开盘。
仁恒西郊花园位于受大虹桥核心区辐射利好的青浦徐泾。总建筑面积约24万㎡,为区域内知晓度很高的品质楼盘代表。以匠心之作,打造国际社区的仁恒西郊花园,拥有2万㎡的超大规模中央景观,并已现房实景呈现。
认筹时间:2018年3月17日10:00-2018年3月24日12:00,
认筹地点:青浦区徐盈路1188弄《仁恒西郊花园》销售中心现场
认筹金:人民币10万元整
购房资格审查:2018年3月25日-4月3日
摇号开盘时间:2018年4月4日13:30开始。
摇号开盘地点:上海市青浦区徐盈路1188弄《仁恒西郊花园》销售中心
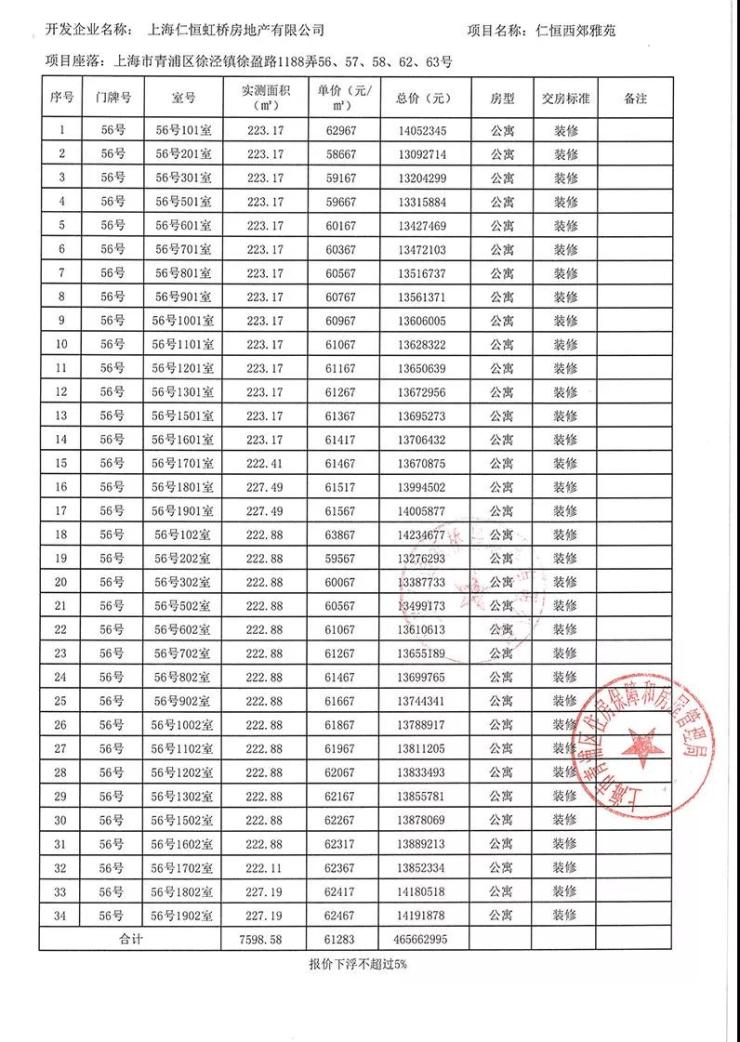
以下是项目官网公布的一房一价表:
户型:此批房源推出的清一色大户型,162&223㎡四房
162㎡4房2厅2卫
223㎡4房2厅3卫
交通:仁恒西郊距离地铁17号线徐盈路314米,出行方便。距离市中心人民广场26.7公里,驾车48分钟。
小区物业:仁恒物业和社区活动空间的营造,也一直在业内享有美誉。如今现房的仁恒西郊花园,就延续了这一品牌特色。在其高端专属运动中心,汇聚恒温泳池、篮球、羽毛球场、健身房等。
文/木木
声明:本文由入驻焦点开放平台的作者撰写,除焦点官方账号外,观点仅代表作者本人,不代表焦点立场。


