上海龙光天曜一房一价发布,8月4日正式开启认购!
扫描到手机,新闻随时看
扫一扫,用手机看文章
更加方便分享给朋友
作为临港当之无愧的红盘标杆,龙光天曜自入市以来备受热捧,双开双罄的当红现象,市场有目共睹,今年2月,项目摘得全市楼盘销售套数TOP1的桂冠,1-3月斩获全市楼盘销售套数、面积双榜TOP3(数据来源克而瑞)。
目前,龙光天曜三批次已取证,约85-117㎡品质高层、约117-133㎡奢适叠墅,8月4日即将开启认购!高层均价2.9W-3.1W,置业临港核心区真香!详见下方。
醇熟版图,一城所向!
龙光天曜的持续火爆,离不开醇熟配套资源的加持,102商住教示范区,是临港商业与文教资源的集萃地,含在建超23万方商业体量、21所名校的人文底色傲视全城,当之无愧的人居价值高地,也是临港人口集聚的核芯所在。
项目周边,港城新天地、百联生活中心、碧云商业街等商业林立,南汇新城城市公园、海昌海洋公园、航海博物馆等城市级配套环绕,繁华所见即所得!交通方面,城市中轴申港大道连通市区,27#线、南枫线轨交加持,板块未来价值将持续跃升!
27#线、南枫线出自:《临港新片区交通强国建设行动方案(2021-2035年)》
当红大城,持续圈粉!
作为临港核心区难得一见的综合体上盖住宅,龙光天曜天然享受到约13万方龙光蓝鲸世界的繁华加持,吃喝玩乐购一站式体验,下楼即达!与此同时,地块周边规划有邻里中心及类公园绿地,06-03小学在建,水华路家居城一街之隔,缤纷大城生活,步行即享!
龙光蓝鲸世界对于临港的意义,还不止于此。“一轴三心”格局下,依托TOP级体量优势、前沿业态规划与体验式商业势能,龙光蓝鲸世界将以坐标综合体形象代言临港,重塑城市商业格局,崛起新的城市中芯!
墅区生活,品质满分!
在临港核心区,墅区项目少之又少。龙光天曜依托天然河道打造滨水墅区,植物同纬度移植,一轴六景园林规划亮点满满,户外会客厅、阳光草坪、环形跑道、童梦乐园、多功能运动场地应有尽有,全龄段居者都能在此各得其乐。
同时,龙光天曜采用低碳环保建筑、海绵城市设计,以10大智慧安防系统、3S智慧居家体系营造科技智慧的生活方式,并选用硅墨烯保温板、LOW-E三玻两腔高性能外窗等优质材料,以精益求精的态度不断夯实产品力,封面人居品质领衔临港。
近日,在2022第十二届中国房地产品牌发展大会上,龙光天曜荣膺“2022中国房地产绿色低碳品牌项目”,来自业界的殊荣,是龙光天曜品质的再次印证。
产品丰富,性价优选!
龙光天曜即将启动认购的冬霖悦庭2期地块西临冬涟河,近揽滨河景观,环境优越;东临龙光蓝鲸世界大商业,繁华生活几步之遥!项目将推出401套房源,其中大户型占比超40%,约117-133㎡叠墅面积适中,兼顾总价控制和生活改善,高层产品户型选择丰富,适合多类型家庭选择!
约85-117㎡墅区高层,均采用三开间朝南、一体式餐客厅设计,户型方正通透,空间利用率高;全明厨卫、U型厨房、干湿分离卫浴,品质细节面面俱到;全卧室带飘窗,空间附赠更高。
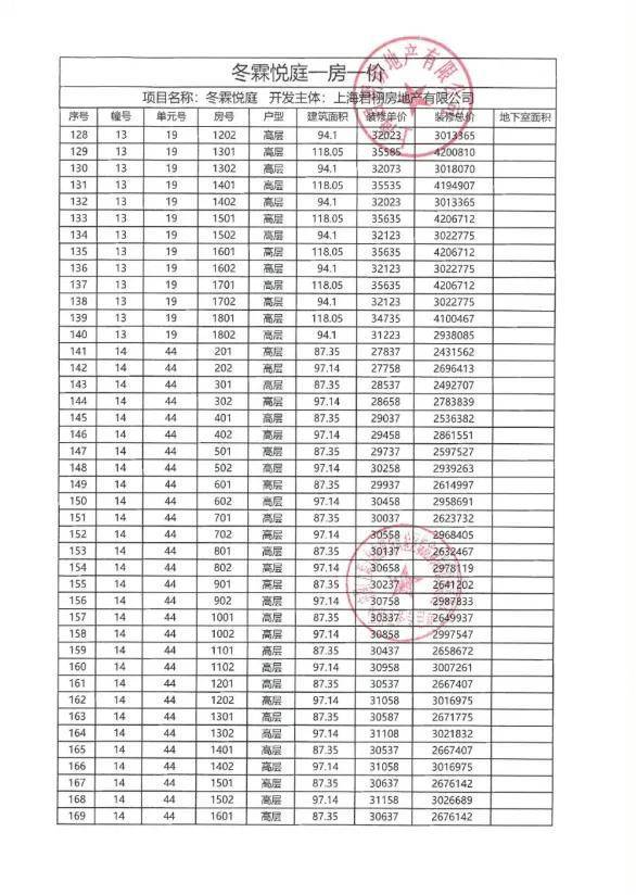
龙光天曜三批次整盘均价约32830元/㎡,其中高层均价仅约31138元/㎡,建面约85㎡三房,总价段在240-268万(2楼以上),建面约95㎡户型总价仅约243万起,性价比超高!
综合体住宅+轨交利好+品质墅区的多重优势加持,值得期待的未来价值、不容错过的性价比!龙光天曜8月4日正式开启认购,争藏从速!
声明:本文由入驻焦点开放平台的作者撰写,除焦点官方账号外,观点仅代表作者本人,不代表焦点立场。


