均价47500元/㎡,建发熙和府352套房源认购中
上海搜狐焦点 2022-10-26 16:57:10
用手机看
扫描到手机,新闻随时看
扫一扫,用手机看文章
更加方便分享给朋友
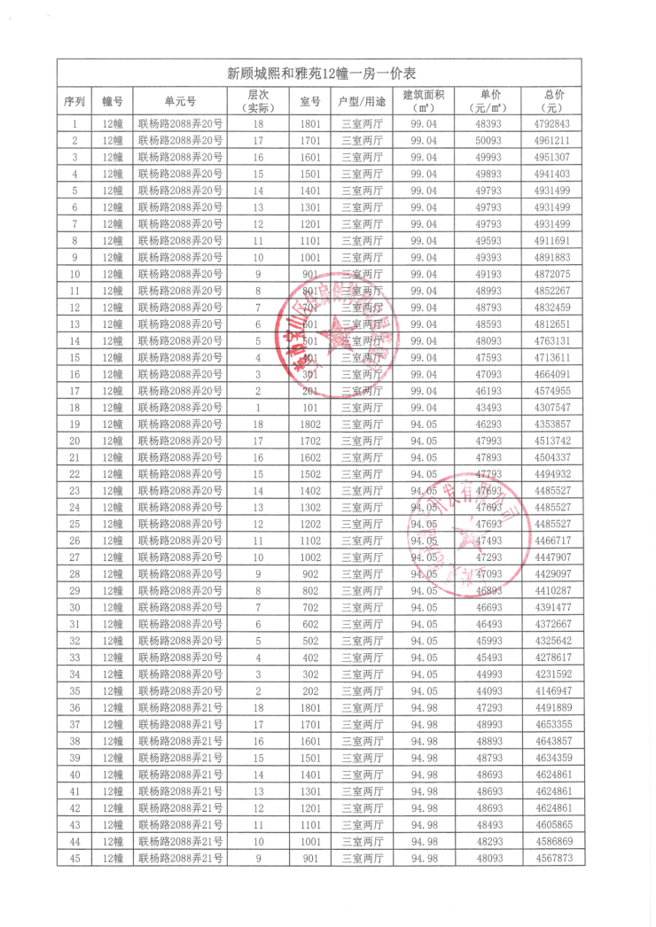
建发熙和府正在认购中,项目推出352套约89-119㎡,均价47500元/㎡。
建发熙和府正在认购中,项目推出352套约89-119㎡,均价47500元/㎡。
认购时间:10月26日-10月30日
房源数量:352套
主力户型:约89-119㎡
备案均价:47500元/㎡
社保系数:0.1分/月
入围比:1.8











声明:本文由入驻焦点开放平台的作者撰写,除焦点官方账号外,观点仅代表作者本人,不代表焦点立场。


