10月27日认购,浦东北蔡「浦发仁恒有园」一房一价表排名前列!
上海搜狐焦点 2022-10-26 16:50:26
用手机看
扫描到手机,新闻随时看
扫一扫,用手机看文章
更加方便分享给朋友
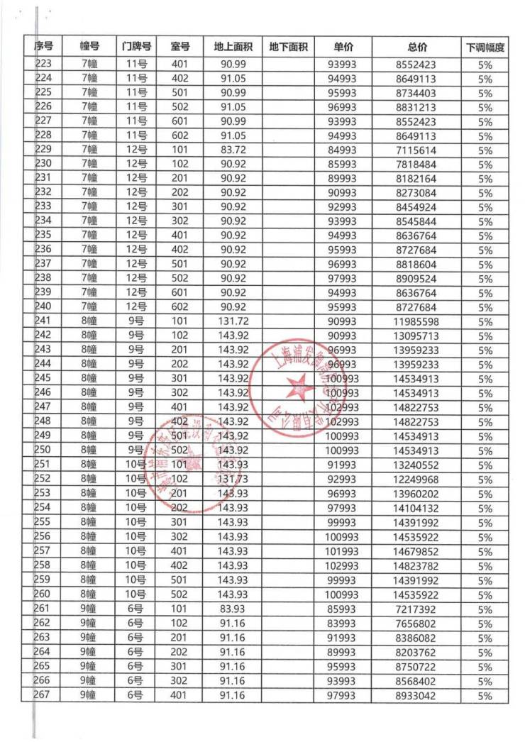
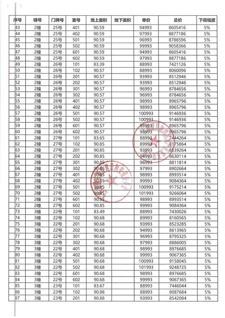
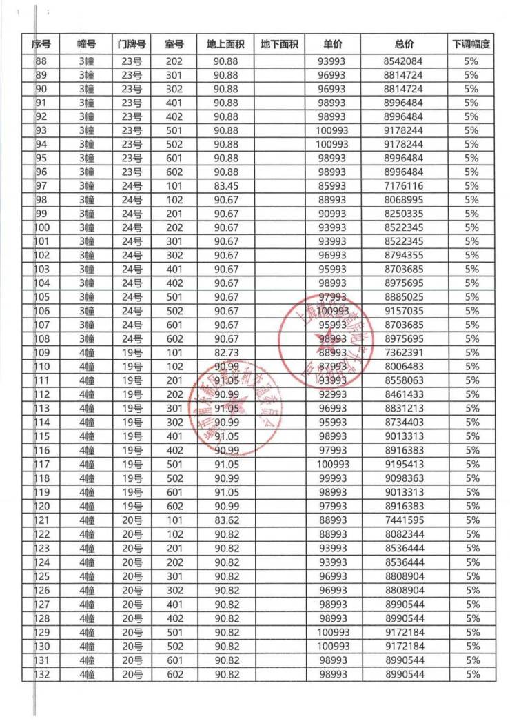
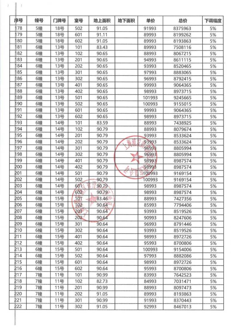
10月27日认购,浦东北蔡新盘——浦发仁恒有园337套房源开启认购,主推约90-140㎡3-4房、约230-330合院,备案均价10.29万/㎡。…
10月27日认购,浦东北蔡新盘——浦发仁恒有园337套房源开启认购,主推约90-140㎡3-4房、约230-330合院,备案均价10.29万/㎡。

声明:本文由入驻焦点开放平台的作者撰写,除焦点官方账号外,观点仅代表作者本人,不代表焦点立场。


