七宝「皇都花园」四期519套均价8.2万/㎡ 附一房一价及户型图
扫描到手机,新闻随时看
扫一扫,用手机看文章
更加方便分享给朋友
闵行七宝
「皇都花园」四期
推出519套约99-576㎡房源
均价8.2万/㎡
认购模式:线上认购
微信公众号:上海皇都花园4期
认购时间:12月3日-12月7日
个人认购意向金:130万元
社保系数:0.17
入围比:1.3
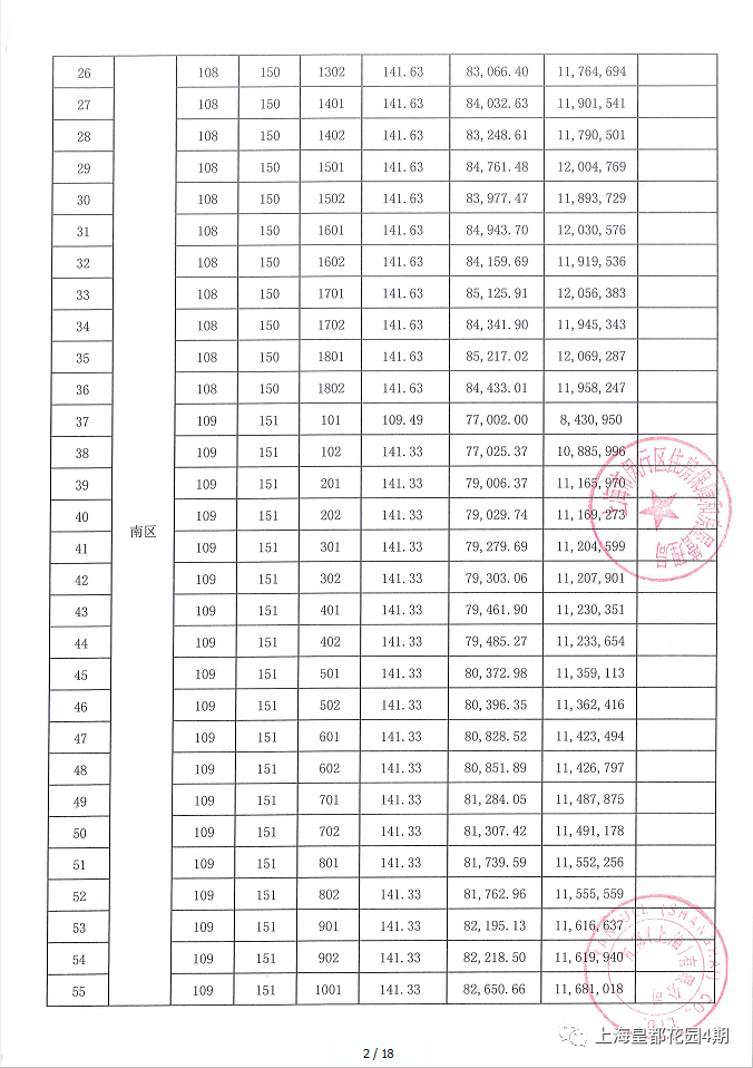
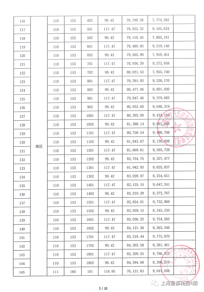
一房一价表:




















项目效果图如下:
户型图参考如下:






皇都花园四期 属于闵行七宝板块,位于七宝和莘庄两大商圈核心之间。
本项目由南北两部分组成,南侧地块位于整个地块的东南角,北侧位于皇都花园二期和三期之间,共519套房源。总建筑面积约12.43万方,容积率2.54,停车位815个,车位比还是很高的。


皇都花园四期项目分为南、北两个地块,规划设计方案都已经公布。北区地块位于皇都花园二期和三期之间,拟建设2栋25层高层、3栋16层高层以及配套用房,共计287套房源。总建筑面积约863031.01㎡,容积率2.9,机动车位564个。

四期项目南区地块位于整个地块的东南角,拟建设2栋11层小高层、3栋18层高层以及部分配套用房,共232套房源。总建筑面积约38026.45㎡,容积率2.08,机动车位251个。
设计方案效果图
声明:本文由入驻焦点开放平台的作者撰写,除焦点官方账号外,观点仅代表作者本人,不代表焦点立场。


