浦东周浦溢泽华庭认购中,推出185套建面约55-130㎡1-3房,附一房一价表
上海搜狐焦点 2023-08-16 14:57:20
用手机看
扫描到手机,新闻随时看
扫一扫,用手机看文章
更加方便分享给朋友
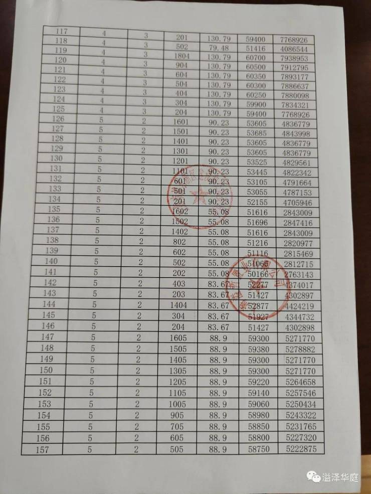
浦东周浦溢泽华庭开启认购185套建面约55-130㎡1-3房均价5.6万/㎡认购时间:8月16日9时至8月20日12时认购金:49万元入围比:1.8开盘日期:8月29日全套户型图如下:(共15个户型)一房一价…
声明:本文由入驻焦点开放平台的作者撰写,除焦点官方账号外,观点仅代表作者本人,不代表焦点立场。


