正在认购!中国铁建花语前湾还有355套,建面约99-144㎡3-4房,均价69419元/㎡
上海搜狐焦点 2023-12-08 16:19:04
用手机看
扫描到手机,新闻随时看
扫一扫,用手机看文章
更加方便分享给朋友
虹桥前湾中国铁建花语前湾二期12月7日认购认购时间:12月7日9时至12月11日12时认购金:70万元「中国铁建花语前湾」二期将加推355套建面约99-144㎡3-4房,均价69419元/㎡。户型图如下:一房…
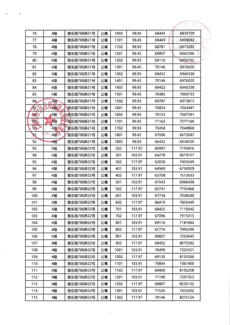
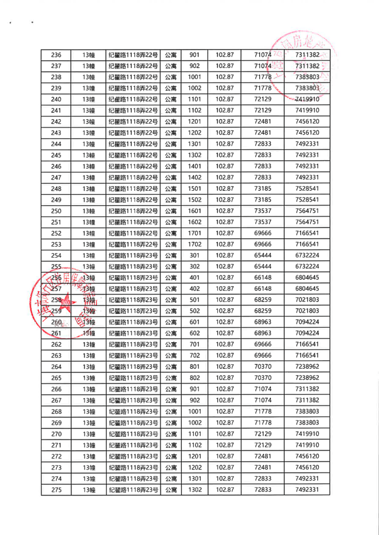
「中国铁建花语前湾」二期将加推355套建面约99-144㎡3-4房,均价69419元/㎡。
一房一价表首发:










声明:本文由入驻焦点开放平台的作者撰写,除焦点官方账号外,观点仅代表作者本人,不代表焦点立场。


