颐景园江南院,江南园林,无人2万起,开始认筹,附一房一价表
扫描到手机,新闻随时看
扫一扫,用手机看文章
更加方便分享给朋友

临港新城作为“十三五”上海新城建设的重中之重,得益于国家政策的扶持,已进入发展的快车道。临港作为浦东中部发展战略的重要节点,南北科创大走廊的枢纽门户,承载了智能制造与海洋经济两大高级产业战略,未来将成为整个亚太地区的核心枢纽。而随着旅游资源、临港科技城、上海东站等基础设施建设的推进,临港新城规划打造的滨海、生态、创新形象日益突显,目前已经成为众多购房者趋之若鹜的热门板块。

项目总占地约20.4万㎡;建筑面积约11万㎡,共分为5期开发,共计751户,产品包括186套高层与565套稀缺的院墅产品组成。项目绿地率约35%,整体容积率约0.54。本次推出的是项目的排名前列期,占地约3.8㎡, 建筑面积约3.3㎡,容积率约0.87,绿地率约35%,由89套院墅和和4栋8-13层的公寓组成,共275套房子。

项目以苏州园林的设计原形,采用江南园林和粉墙黛瓦为主基调,外立面采用中式建筑常用的白色耐候涂料和青灰色瓦片堆砌,保留了苏州中式院子的原汁原味的感觉。

项目较大的特色就是独门独院,由巷道和宅门围合而成的独立院墅。作为纯中式院落,打造了“三进门”的归家体系——一进园门,赏园林之景;二进坊门,赏巷道之景;三进宅门,赏庭院之景。

主景区以半亩方塘水景为主,亭台楼榭轩廊桥分列四周如众星拱月,其高低错落,又如群山环水。池水由东南入、西北出,引为小区自带的天然河道内的活水,方半亩有余。山脉水脉兼备,藏风纳水,风景优质。所谓“半亩方塘一鉴开,天光云影共徘徊”,

亭台楼阁、粉黛黑瓦,用最古老的工艺,打造更美的园林景观。“虽由人作,宛自天成”将天人合一的理念融入这中式庭院之中。

水随山转,山因水活,院落之中假山峰峦起伏,沟壑婉转曲折,与园中的鸟语花香相映成趣,步入其中,可感受到山穷水尽柳暗花明之趣,文雅闲赋的诗情画意之美。

在中式院墅的打造上,加入下沉式庭院+入户庭院+露台的设计,真正意义上做到了“左邻右舍无干扰”“有天有地有花园的院落生活”;在户型上,我们设计了三开间全部朝南的设计,全天采光都非常充足,这也是国人非常理想的户型。

在洋房的打造上,100平的户型做成了三室,也是很适应了当下潮流,在空间设计上,我们抛弃了一些可以减少的浪费空间,大大的提高了房屋的得房率,其主卧、次卧以及儿童房的设计充分满足年轻家庭的需求,尽显人文关怀;120平四房设计户型方正,南北通透,做到了采光通风与保温两者间的平衡。

【颐景园江南院】️
备案名:颐景祥苑
产权:70年
预售房源:256套(186套洋房、70套院墅)
总高:13层、8层洋房产品,江南院墅产品
层高:高层2.9米,院墅一层3.6、二层3.1米、地下室5.4米
交房标准:毛坯交付
物业费:院墅5元/平/月、洋房产品3元/平/月
车位比:1:1.26
面积:院墅120-150-170平、洋房100-120平
院墅独门独院、洋房100-120一梯两户
交房时间:2021年初

户型图:





样板房照片:





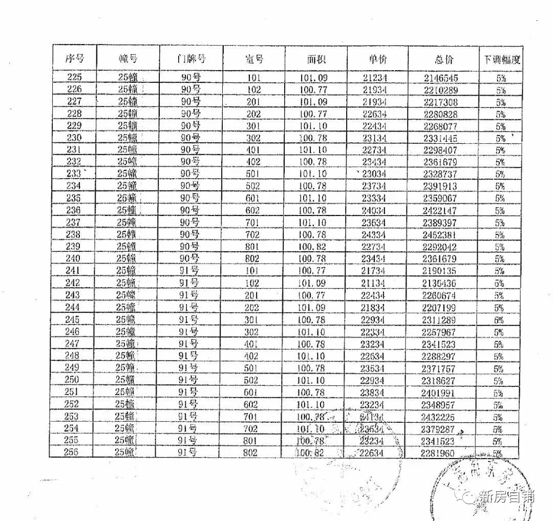
一房一价表:




交通配套:
离项目最近的地铁是16号线书院站(步行约4.5KM),目前可乘1037路 芦杜专线 浦东7路等公交车到项目;项目门口就是临港大道,旁边还有两港大道,川南奉公路,南芦公路,上海绕城高速,沪芦高速等主干道,自驾非常方便。

商业配套:
项目自带精品商业水街以及邻里中心(菜场和活动中心等),旁边的三三公路还是一条成熟的商业街,吃喝玩乐都有,可满足日常生活需求;旁边还有在建的1.5万㎡的凯德商业中心,政府重点打造的三灶港核心商业区(规划中)等商业配套。

教育配套:
项目自旁边就是就有一所幼儿园(规划中)和九年制中小学(规划中),另外旁边还有万祥幼儿园(约1.2KM),九年一贯制万祥学校(约1.5KM)等,就学不成问题。

医疗配套:
项目周边医疗资源比较小,离项目最近的就是万祥社区卫生服务中心(约850米),然后就是上海市第六人民医院东院(约16.5KM)等。

免责声明:本宣传资料仅为要约邀请,内附所有资料,包括任何图片、插图、设计图、文字描述或其他资料,仅供参考或识别之用,不构成合同内容,具体内容以合同内容及政府最终审批为准。项目所涉及数据均为暂定,后期如有改动,请以各项证件及政府批文等为准,本宣传资料部分素材源于网络,其著作权归原作者所有;如果原作者表明其身份并要求本公司停止使用该素材的,请及时与小编联系。
声明:本文由入驻焦点开放平台的作者撰写,除焦点官方账号外,观点仅代表作者本人,不代表焦点立场。


